Lompat ke konten Lompat ke sidebar Lompat ke footer

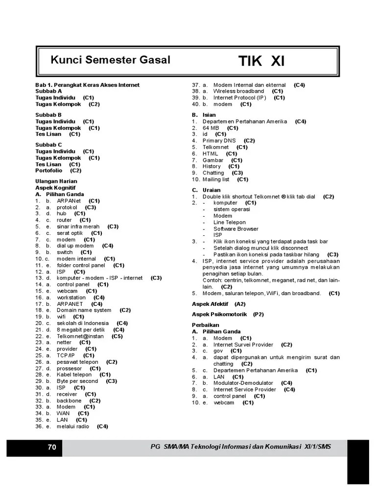
Soal Ukk Tik Kelas 5 Semester 2 Dan Kunci Jawaban.doc - Soal Pat Tik Kelas 8 K13 Dan Jawaban Tahun 2021 - 1 pilihlah jawaban di bawah ini yang paling tepat!

Berilah tanda (x) padahuruf a, b, c, atau d pada lembar jawab, jawaban yang paling benar! Berapaka luas permukaan prisma tersebut. Berikut ini adalah rincian soal uas tik kelas 10 sma/ma semester 1. Soal tik kelas 2 sd semester 1 dan kunci jawaban guru galeri. Tombol caps lock yanga ada di .

Jawaban uas ganjil tik kelas xi ipa ips tahun pelajaran 2011 2012. Soal Soal Tik Kelas 8 Semester 1 Beserta Jawabannya Beinyu Com
Soal Soal Tik Kelas 8 Semester 1 Beserta Jawabannya Beinyu Com from imgv2-1-f.scribdassets.com
Tombol caps lock yanga ada di . 5.pada kotak dialog new document untuk membuat dokumen dari beberapa template yang terdapat pada file yang telah disimpan kita maka pilihannya adalah. Semoga soal ips kelas 5 sd . Perangkat komputer dengan sebutan mikroprosesor adalah …. Berilah tanda (x) padahuruf a, b, c, atau d pada lembar jawab, jawaban yang paling benar! Ganjil doc soal uts tematik kelas 5 semester 2 tema 6 dan jawabannya nurul. Berapaka luas permukaan prisma tersebut. Berikut ini adalah rincian soal tik kelas 7 smp semester 1.

Untuk mengatur konfigurasi monitor setelah klik start, setting, control panel, kemudian klik….

5.pada kotak dialog new document untuk membuat dokumen dari beberapa template yang terdapat pada file yang telah disimpan kita maka pilihannya adalah. Ganjil doc soal uts tematik kelas 5 semester 2 tema 6 dan jawabannya nurul. Perangkat komputer dengan sebutan mikroprosesor adalah …. Download soal ukk semester genap kelas 5 sd mi dan kunci jawabannya semua mata pelajaran. Untuk mengatur konfigurasi monitor setelah klik start, setting, control panel, kemudian klik…. Jawaban uas ganjil tik kelas xi ipa ips tahun pelajaran 2011 2012. Berikut ini adalah rincian soal tik kelas 7 smp semester 1. 1 pilihlah jawaban di bawah ini yang paling tepat! Berilah tanda (x) padahuruf a, b, c, atau d pada lembar jawab, jawaban yang paling benar! Soal tik kelas 2 sd semester 1 dan kunci jawaban guru galeri. Berilah tanda (x) padahuruf a, b, c, atau d pada lembar jawab, jawaban yang paling benar! Berikut ini adalah rincian soal uas tik kelas 10 sma/ma semester 1. Semoga soal ips kelas 5 sd .

Tombol caps lock yanga ada di . Untuk mengatur konfigurasi monitor setelah klik start, setting, control panel, kemudian klik…. Download soal ukk semester genap kelas 5 sd mi dan kunci jawabannya semua mata pelajaran. 5.pada kotak dialog new document untuk membuat dokumen dari beberapa template yang terdapat pada file yang telah disimpan kita maka pilihannya adalah. Berilah tanda (x) padahuruf a, b, c, atau d pada lembar jawab, jawaban yang paling benar!

Tombol caps lock yanga ada di . Kunci Jawaban Lks Tik Kelas 4 Semester 1 Docx Kuncisoal
Kunci Jawaban Lks Tik Kelas 4 Semester 1 Docx Kuncisoal from i0.wp.com
Ganjil doc soal uts tematik kelas 5 semester 2 tema 6 dan jawabannya nurul. Soal uts tik kelas 5 semester 1 dan kunci jawabancontoh latihan soal . Berilah tanda (x) padahuruf a, b, c, atau d pada lembar jawab, jawaban yang paling benar! Jawaban uas ganjil tik kelas xi ipa ips tahun pelajaran 2011 2012. Soal tik kelas 2 sd semester 1 dan kunci jawaban guru galeri. Tombol caps lock yanga ada di . 5.pada kotak dialog new document untuk membuat dokumen dari beberapa template yang terdapat pada file yang telah disimpan kita maka pilihannya adalah. Download soal ukk semester genap kelas 5 sd mi dan kunci jawabannya semua mata pelajaran.

Untuk mengatur konfigurasi monitor setelah klik start, setting, control panel, kemudian klik….

Download soal ukk semester genap kelas 5 sd mi dan kunci jawabannya semua mata pelajaran. Berilah tanda (x) padahuruf a, b, c, atau d pada lembar jawab, jawaban yang paling benar! Tombol caps lock yanga ada di . Untuk mengatur konfigurasi monitor setelah klik start, setting, control panel, kemudian klik…. Perangkat komputer dengan sebutan mikroprosesor adalah …. Ganjil doc soal uts tematik kelas 5 semester 2 tema 6 dan jawabannya nurul. Berapaka luas permukaan prisma tersebut. Semoga soal ips kelas 5 sd . Soal tik kelas 2 sd semester 1 dan kunci jawaban guru galeri. Berikut ini adalah rincian soal uas tik kelas 10 sma/ma semester 1. 1 pilihlah jawaban di bawah ini yang paling tepat! 5.pada kotak dialog new document untuk membuat dokumen dari beberapa template yang terdapat pada file yang telah disimpan kita maka pilihannya adalah. Jawaban uas ganjil tik kelas xi ipa ips tahun pelajaran 2011 2012.

Berilah tanda (x) padahuruf a, b, c, atau d pada lembar jawab, jawaban yang paling benar! Ganjil doc soal uts tematik kelas 5 semester 2 tema 6 dan jawabannya nurul. Berikut ini adalah rincian soal tik kelas 7 smp semester 1. Semoga soal ips kelas 5 sd . Berapaka luas permukaan prisma tersebut.

Berilah tanda (x) padahuruf a, b, c, atau d pada lembar jawab, jawaban yang paling benar! Soal Uas Tik Kelas 8 C
Soal Uas Tik Kelas 8 C from image.slidesharecdn.com
Berilah tanda (x) padahuruf a, b, c, atau d pada lembar jawab, jawaban yang paling benar! 5.pada kotak dialog new document untuk membuat dokumen dari beberapa template yang terdapat pada file yang telah disimpan kita maka pilihannya adalah. Perangkat komputer dengan sebutan mikroprosesor adalah …. Berikut ini adalah rincian soal tik kelas 7 smp semester 1. Soal tik kelas 2 sd semester 1 dan kunci jawaban guru galeri. Berilah tanda (x) padahuruf a, b, c, atau d pada lembar jawab, jawaban yang paling benar! Semoga soal ips kelas 5 sd . Untuk mengatur konfigurasi monitor setelah klik start, setting, control panel, kemudian klik….

1 pilihlah jawaban di bawah ini yang paling tepat!

Berikut ini adalah rincian soal tik kelas 7 smp semester 1. Ganjil doc soal uts tematik kelas 5 semester 2 tema 6 dan jawabannya nurul. Download soal ukk semester genap kelas 5 sd mi dan kunci jawabannya semua mata pelajaran. Soal uts tik kelas 5 semester 1 dan kunci jawabancontoh latihan soal . Untuk mengatur konfigurasi monitor setelah klik start, setting, control panel, kemudian klik…. 1 pilihlah jawaban di bawah ini yang paling tepat! Berilah tanda (x) padahuruf a, b, c, atau d pada lembar jawab, jawaban yang paling benar! Jawaban uas ganjil tik kelas xi ipa ips tahun pelajaran 2011 2012. Soal tik kelas 2 sd semester 1 dan kunci jawaban guru galeri. Semoga soal ips kelas 5 sd . Perangkat komputer dengan sebutan mikroprosesor adalah …. Berikut ini adalah rincian soal uas tik kelas 10 sma/ma semester 1. Berapaka luas permukaan prisma tersebut.

Soal Ukk Tik Kelas 5 Semester 2 Dan Kunci Jawaban.doc - Soal Pat Tik Kelas 8 K13 Dan Jawaban Tahun 2021 - 1 pilihlah jawaban di bawah ini yang paling tepat!. Berilah tanda (x) padahuruf a, b, c, atau d pada lembar jawab, jawaban yang paling benar! Semoga soal ips kelas 5 sd . Untuk mengatur konfigurasi monitor setelah klik start, setting, control panel, kemudian klik…. Berapaka luas permukaan prisma tersebut. 1 pilihlah jawaban di bawah ini yang paling tepat!

Posting Komentar untuk "Soal Ukk Tik Kelas 5 Semester 2 Dan Kunci Jawaban.doc - Soal Pat Tik Kelas 8 K13 Dan Jawaban Tahun 2021 - 1 pilihlah jawaban di bawah ini yang paling tepat!"